For (d), draw the integration region [imath]R[/imath] i.e. [imath]X+Y \le 1[/imath] and [imath]Y\le 0.5[/imath] to determine your limits of integration.Hello, I would like to check my understanding and get some help with last part of the following question, please.
For part (d), would I use f(x | y) = f(x, y) / f(y) ? Thank you for your time.
View attachment 33942
My attempt so far is shown below:
View attachment 33944
For (d), draw the integration region [imath]R[/imath] i.e. [imath]X+Y \le 1[/imath] and [imath]Y\le 0.5[/imath] to determine your limits of integration.
[math]\Pr(X+Y\le 1 | Y\le 0.5)= \iint_R f(x,y)\, dR[/math]

I haven't checked your integrals yet, but if you draw the integrating region you don't need to use the conditional density because the bounds took care of the conditional part.Am I on the right track with this set-up, or am I totally off? I would need the marginal pdf for Y for the denominator.
View attachment 33946

x+y=1 or if you prefer, x=1-y
In the 2nd line in part a, you have an error in what you wrote after the 1st equal sign.Hello, I would like to check my understanding and get some help with last part of the following question, please.
For part (d), would I use f(x | y) = f(x, y) / f(y) ? Thank you for your time.
My attempt so far is shown below:
View attachment 33944
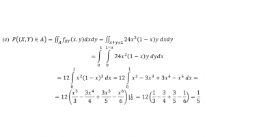
I am guessing that [imath]x^2(1-x)^3[/imath] was replaced by [imath]x^3(1-x)^2[/imath], which would have the same integral on the [0,1] interval.In the 2nd line in part a, you have an error in what you wrote after the 1st equal sign.
2nd from last line:
x2(1-x)3
In (1-x)3 after expanding one term will be 1. When you multiply x2 by 1 you get x2. However you got x^3 -2x^4 + x^5. This result is totally wrong.
Part d:Am I on the right track with this set-up, or am I totally off? I would need the marginal pdf for Y for the denominator.
View attachment 33946
Why wouldn't the student state this!I am guessing that [imath]x^2(1-x)^3[/imath] was replaced by [imath]x^3(1-x)^2[/imath], which would have the same integral on the [0,1] interval.
I agree. I was halfway through writing my response when it crossed my mind.Why wouldn't the student state this!
My mistake here. I revised my work for part (c). The answer is still 1/5 or 0.2, I believe. would you agree?In the 2nd line in part a, you have an error in what you wrote after the 1st equal sign.
2nd from last line:
x2(1-x)3
In (1-x)3 after expanding one term will be 1. When you multiply x2 by 1 you get x2. However you got x^3 -2x^4 + x^5. This result is totally wrong.

Part d:
You have \(\displaystyle \int_{0.5}^1 [\int_{0.5}^1 24x^2(1-x)dx]dy\)
That inner integral will be a constant, which can be put in front of the remaining integral. This constant will be exactly what we are dividing by so there is not need to even evaluate this integral (except if it equals 0 which it clearly doesn't) as it will cancel out to 1 with the denominator.
Edit: The inner integral does not have to even be a constant to cancel out with the denominator---it just has to be NOT a function of y.

I got the same results for (d).Okay, so I feel confident with my answers for part a - c.
Now, for part (d), my attempt is as follows. Do we agree here? Thanks for your help by the way.
View attachment 33968